設 計
「ポールアンカー100型-V」は戴荷試験を実施し、道路附属物の基礎としての性能を評価したものです。
地盤から決まる押込み極限支持力
ここに、
| Rud | : | 地盤から決まる杭の極限支持力(kN) |
||||||||
|---|---|---|---|---|---|---|---|---|---|---|
| qd | : | 杭先端の有効面積当たりの抵抗力度(kN/m2)。ただし、摩擦杭で先端抵抗力を期待する場合、杭の根入れ長は杭径の12倍以上有しているものとする。 | ||||||||
| A | : | 杭先端の有効面積(m2) | ||||||||
| U | : | 杭の周長(m) | ||||||||
| L i | : | 周面抵抗力を考慮する層の層厚(m)。ただし、摩擦杭で先端抵抗力を期待する場合、杭先端から上方2D は考慮しないものとする。 | ||||||||
| D | : | 杭径(m) | ||||||||
| f i | : | 周面抵抗力を考慮する層の最大周面抵抗力度(kN/m2)
|
||||||||
| N | : | 標準貫入試験から得られる N 値 |
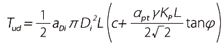
地盤から決まる極限回転抵抗モーメント
ここに、
| Tud | : | 地盤から決まる極限回転抵抗モーメント(kN・m) |
|---|---|---|
| a Di | : | 周長低減率 |
| Di | : | せん断面の直径(m) |
| L | : | 回転抵抗を考慮する深さ(m) |
| c | : | 粘着力(kN/m2) |
| αpt | : | 回転抵抗における水平地盤反力度の上限値の補正係数 |
| γ | : | 土の単位体積重量(kN/m3) |
| Kp | : | クーロン土圧による受働土圧係数 |
| Φ | : | :土のせん断抵抗角(゚) |
参考文献) 載荷試験による道路標識等の杭の回転抵抗特性の評価,土木研究所資料第4226号, 2012.
